0

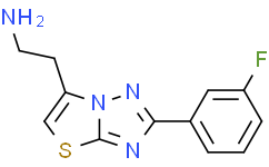
CAS.No:1017232-65-3

2-(2-(3-Fluorophenyl)thiazolo[3,2-b][1,2,4]triazol-6-yl)ethan-1-amine...
2-(2-(3-Fluorophenyl)thiazolo[3,2-b][1,2,4]triazol-6-yl)ethan-1-amine...

Cat.No.:AG-B06428

Product name: 2-(2-(3-Fluorophenyl)thiazolo[3,2-b][1,2,4]triazol-6-yl)ethan-1-amine... Boiling point:
CAS.No: 1017232-65-3 Storage:
Molecular formula: C12H11FN4S Pubchem ID:
Molecular weight: 262.305943727493 ACS NO:
MDL NO: InChIKey:
Clogp English alias:
Pictogram:
Warning words: Class :
Warning statement: UN# :
Danger statement: Packing Group :
search COA
search MSDS
purpose

Related products

PQR530

1927857-61-1

MGL-3196

920509-32-6

BI-3406

2230836-55-0

MSA-2

129425-81-6